
Common name: Nicosulfuron
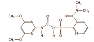
Chemical name:
2-(4,6-dimethoxypyrimidin-2-ylcarbamoylsulfamoyl)-N,N-dimethylnicotinamide
Chemical class: Herbicide
Molecular formula: C15H18N4O5SC15H18N4O5S
CAS NO.: 111991-09-4
Properties:
Colourless crystals. M.p.169-172°C. V.p.<8×1077mPa(25°C). S.g./density 0.313 (bulk). In water 0.07 g/L. In acetone
18, ethanol 4.5, chloroform, dimethylformamide 64,
acetonitrile 23, toluene 0.370, hexane <0.02,
dichloromethane 160 (all in g/kg, 25°C).
Mode of action:
Selective systemic herbicide, absorbed by the foliage
and roots, with rapid translocation in xylem and phloem to
the meristematic tissues.
Usage:
Selective post-emergence control in maize of annual grass weeds, including Setaria, Echinochloa, Digitaria, Panicum, Lolium, and Avena spp., broad-leaved weeds, including Amaranthus spp. and Cruciferae, and perennials such as Sorghum halepense and Agropyron repens. Applied at 35-70 g/ha.
Normal Formulations:
95% Tech, 75% WDG/WP, 4% SC