Dimethoate – Insecticide – NZTC
Dimethoate – Insecticide
INSECTICIDES

Dimethoate – Insecticide

Common name: Dimethoate
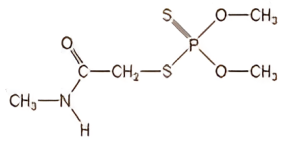
Chemical name:
O,O-dimethyl S-methylcarbamoylmethyl phosphorodithioate
Chemical class: Insecticide
Molecular formula: C2H14NO3PS2
CAS NO.: 60-51-5

Properties:
Colourless crystals; (tech., white solid pellets). M.p. 50.0-51.5°C (purity 99.5%). B.p. 117°C/0.1 mmHg. V.p. 0.25 mPa (25°C). S.g./density 1.31 (20°C, 99.1% pure). In water 23.3 (pH 5), 23.3 (pH 7), 25.0 (pH 9) (all in g/L, 25°C). Readily soluble in most organic solvents, e.g. in alcohols, ketones, benzene, toluene, chloroform, dichloromethane >300, carbon tetrachloride, saturated hydrocarbons, n-octanol >50 (all in g/kg, 20 °C).

Mode of action:
Systemic insecticide and acaricide with contact and stomach action.

Usage:
Control of a wide range of Acari, Aphididae, Aleyrodidae, Coccidae, Coleoptera, Collembola, Diptera, Lepidoptera, Pseudococcidae and Thysanoptera in cereals, citrus, coffee, cotton, fruit, grapes, olives, pastures, beetroot, potatoes, pulses, tea, tobacco, ornamentals, ornamental shrubs, and vegetables. Also used for control of flies in animal houses. Typical application rates for cereals 340-680, citrus 2100, olives 720, beetroot 84-600, vegetables 330-600 (all in g/ha per application).

Normal Formulations:
98% TC, 40% EC