
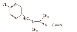
Common name: Acetamiprid
Chemical name: (E)-N1-[(6-chloro-3-pyridyl)methyl]
Chemical class: Insecticide
Molecular formula: C,H,ClN,
CAS NO.: 135410-20-7
Properties:
Colourless crystals. M.p. 98.9°C. V.p. <1×10 mPa (25°C). S.g./density 1.330 (20°C). In water 4250 mg/L (25°C).
Soluble in acetone, methanol, ethanol, dichloromethane, chloroform, acetonitrile and tetrahydrofuran.
Mode of action:
Systemic insecticide with translaminar activity and with contact and stomach action.
Usage:
Control of Hemiptera, especially aphids, Thysanoptera and Lepidoptera, by soil and foliar application, on a wide range of crops, especially vegetables, fruit and tea.
Applied at 75-300 g/ha on vegetables, 100-700 g/ha in
Normal Formulations:
95% Tech, 40% WP, 25 WP/SP, 20% SP/SL